Riángulo De Pascal Como Guía Para Factorizar

Triangulo De Pascal Ejercicio 1 Youtube

Triangulo De Pascal Ejercicio 1 Youtube

Estadistica Para Todos

Estadistica Para Todos

Triangulo De Pascal Zona Intelectual

Triangulo De Pascal Zona Intelectual

Binomio De Newton Triangulo De Pascal Potencias De Un Binomio

Binomio De Newton Triangulo De Pascal Potencias De Un Binomio

Triangulo De Pascal La Guia De Matematica

Triangulo De Pascal La Guia De Matematica

Pin De Marinette Nina Gamer Sandy En Juguetes En 2020 Con

Pin De Marinette Nina Gamer Sandy En Juguetes En 2020 Con

Pin De Marinette Nina Gamer Sandy En Juguetes En 2020 Con

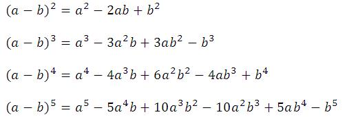
Potencia de una suma.

Riángulo de pascal como guía para factorizar. Explicación de la forma de hacer el triángulo de pascal y cómo usarlo para encontrar las potencias de un binomio o binomio de newton dentro del curso de productos notables. Para construir el triángulo empieza con 1 arriba y pon números debajo formando un triángulo. De hecho algunas de sus propiedades ya fueron estudiadas por el matemático chino yang hui siglo xiii así como el poeta persa omar khayyam siglo xii. Se tienen referencias que datan del siglo xii en china.

Triángulo de pascal como guía para factorizar. 2a b 4c 3d el factor común es el número 4 el máximo común divisor entre los números. Observa con atención y verás cómo cada fila del triángulo de pascal corresponde a los coeficientes del desarrollo de la potencia de un binomio. Como desarrollar binomios a la n potencia con el triangulo de pascal ejemplo 1 duration.

Matematica faciles para jovenes y adultos. Una de las pautas de números más interesantes el es triángulo de pascal llamado así en honor de blaise pascal un famoso matemático y filósofo francés. Triángulo de pascal desarrollo de binomio al exponente. Qué es factorizar duration.

Hay factor común entre los números 8a 4b 16c 12d 4. Caso 1 factor común sacar el factor común es añadir el literal común de un polinomio binomio o trinomio con el menor exponente y el divisor común de sus coeficientes. Como ejemplo vamos a calcular. Triángulo de pascal como guía para factorizar.

De esta forma se obtienen todas las potencias de 2. El triángulo de pascal. Factor común monomio factor común por agrupación de términos. Caso i factor común ejemplo 1.

El triángulo de pascal o tartaglia tiene un origen como en muchos otros casos muy anterior al de estos dos matemáticos.

Ejemplo De Triangulo De Pascal

Ejemplo De Triangulo De Pascal

Triangulo De Pascal Con Fracciones Bien Explicado Youtube

Triangulo De Pascal Con Fracciones Bien Explicado Youtube

Tareasplus Para Saber Mas Educacion Casas Y Estudio

Tareasplus Para Saber Mas Educacion Casas Y Estudio

Los Tesoros Matematicos Que Esconde El Triangulo De Pascal Con

Los Tesoros Matematicos Que Esconde El Triangulo De Pascal Con

211

211

Triangulo De Pascal Y Binomio De Newton Triangulo De Pascal

Triangulo De Pascal Y Binomio De Newton Triangulo De Pascal

Algebra Eca De Ensenanza Media Productos Notables

Algebra Eca De Ensenanza Media Productos Notables

Factorizacion De Un Trinomio Cuadrado Perfecto Cuadrado Perfecto

Factorizacion De Un Trinomio Cuadrado Perfecto Cuadrado Perfecto

Triangulo De Pascal Ecured

Triangulo De Pascal Ecured

Como Encontrar El Numero Pi En El Triangulo De Pascal Triangulo

Como Encontrar El Numero Pi En El Triangulo De Pascal Triangulo

Algebra Productos Notables Triangulo De Pascal Youtube

Algebra Productos Notables Triangulo De Pascal Youtube

Actividades Matematicas Triangulo De Pascal

Actividades Matematicas Triangulo De Pascal

Https Encrypted Tbn0 Gstatic Com Images Q Tbn 3aand9gcq4ievgkszezq3ez9loxbjjgu7coiormsrkxdrtpm0joq2leypx Usqp Cau

Https Encrypted Tbn0 Gstatic Com Images Q Tbn 3aand9gcq4ievgkszezq3ez9loxbjjgu7coiormsrkxdrtpm0joq2leypx Usqp Cau

Algebra Baldor Triangulo De Pascal Opentor

Algebra Baldor Triangulo De Pascal Opentor

Source : pinterest.com